询 单
请 填 写 相 关 信 息
产品信息
产品名称
别名
CAS号
结构式 上传
联系方式
公司
联系人
电话
邮箱
内容
提交
中文版 English
请输入产品名称、CAS式、分子式
Perfluoroisobutyric acid | CAS:335-10-4
Perfluoroisobutyric acid
  • 名称:七氟异丁酸 | Perfluoroisobutyric acid
  • CAS号:335-10-4
  • 别名:
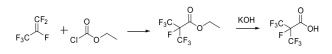
  • 分子式:Description for Route of synthesis: Raw materials: Hexafluoropropylene 116-15-4 Ethyl chloroformate 541-41-3 Ethyl 2,2-bis(trifluoromethyl)-3,3,3-trifluoropropanoate
  • 分子量:214.04
  • EINESC号:

产品描述

Description for Route of synthesis: Raw materials: Hexafluoropropylene 116-15-4 Ethyl chloroformate 541-41-3 Ethyl 2,2-bis(trifluoromethyl)-3,3,3-trifluoropropanoate

物理化学性质

沸点 117.5 °C
密度 1.649 g/cm3

安全数据

没有数据没有数据

SDS

来源 SDS样本
没有数据没有数据
产品合成路线
更多

名称 CAS号
更多
文章
同行评议文献
备注

Products protected by valid patents are not offered for sale in countries where the sale of such products constitutes a patent infringement and its liability is at buyer's risk.

Products currently covered by valid US Patents are offered for R&D use in accordance with 35 USC 271 +A13(1).

名称 CAS号

相关产品

相关资讯

热门标签
询 单
请 填 写 相 关 信 息
产品信息
产品名称
别名
CAS号
结构式 上传
联系方式
公司
联系人
电话
邮箱
内容
提交