询 单
请 填 写 相 关 信 息
产品信息
产品名称
别名
CAS号
结构式 上传
联系方式
公司
联系人
电话
邮箱
内容
提交
中文版 English
请输入产品名称、CAS式、分子式
Phosphonomycin (R)-1-phenethylamine salt | CAS:25383-07-7
Phosphonomycin (R)-1-phenethylamine salt
  • 名称:磷霉素 (R)-1-苯乙胺盐; (R)-alpha-甲基苯基甲胺 (2R-cis)-(3-甲基环氧乙基)膦酸 (1:1) | Phosphonomycin (R)-1-phenethylamine salt
  • CAS号:25383-07-7
  • 别名:(R)-alpha-Methylbenzenemethanamine (2R-cis)-(3-methyloxiranyl)phosphonate (1:1)
  • 分子式:C8H11N.C3H7O4P
  • 分子量:259.24
  • EINESC号:

产品描述

物理化学性质

没有数据没有数据

安全数据

没有数据没有数据

SDS

来源 SDS样本
没有数据没有数据
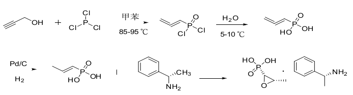
产品合成路线
更多

RelatedAPI's

名称 CAS号
Fosfomycin 23155-02-4 查看
更多
文章
同行评议文献
备注

Products protected by valid patents are not offered for sale in countries where the sale of such products constitutes a patent infringement and its liability is at buyer's risk.

Products currently covered by valid US Patents are offered for R&D use in accordance with 35 USC 271 +A13(1).

RelatedAPI's
名称 CAS号
Fosfomycin 23155-02-4 查看

相关产品

相关资讯

热门标签
询 单
请 填 写 相 关 信 息
产品信息
产品名称
别名
CAS号
结构式 上传
联系方式
公司
联系人
电话
邮箱
内容
提交