
R 7128 | CAS:940908-79-2
R 7128
- 名称:R 7128; (2'R)- 2'-去氧-2'-氟-2'-甲基胞苷 3',5'-双(2-甲基丙酸)酯 | R 7128
- CAS号:940908-79-2
- 别名:Mericitabine; RG 7128; (2'R)- 2'-Deoxy-2'-fluoro-2'-methylcytidine 3',5'-bis(2-methylpropanoate)
- 分子式:C18H26FN3O6
- 分子量:399.41
- EINESC号:
产品描述
物理化学性质
密度 | 1.36 |
---|
安全数据
没有数据 | 没有数据 |
---|
SDS
来源 | SDS样本 |
---|---|
没有数据 | 没有数据 |
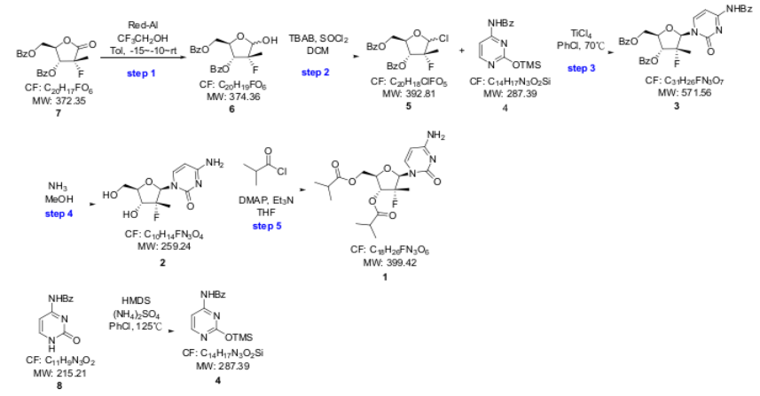
产品合成路线
名称 | CAS号 |
---|
更多
文章
同行评议文献
备注
Products protected by valid patents are not offered for sale in countries where the sale of such products constitutes a patent infringement and its liability is at buyer's risk.
Products currently covered by valid US Patents are offered for R&D use in accordance with 35 USC 271 +A13(1).
名称 | CAS号 |
---|

相关产品
相关资讯
问
热门标签
询 单
请 填 写 相 关 信 息
- 请填写产品名称!
- CAS号
- 请正确填写公司名称!
- 请正确填写联系人!
- 请正确填写联系电话!
- 请正确填写联系邮箱!
- 请描述您的问题!